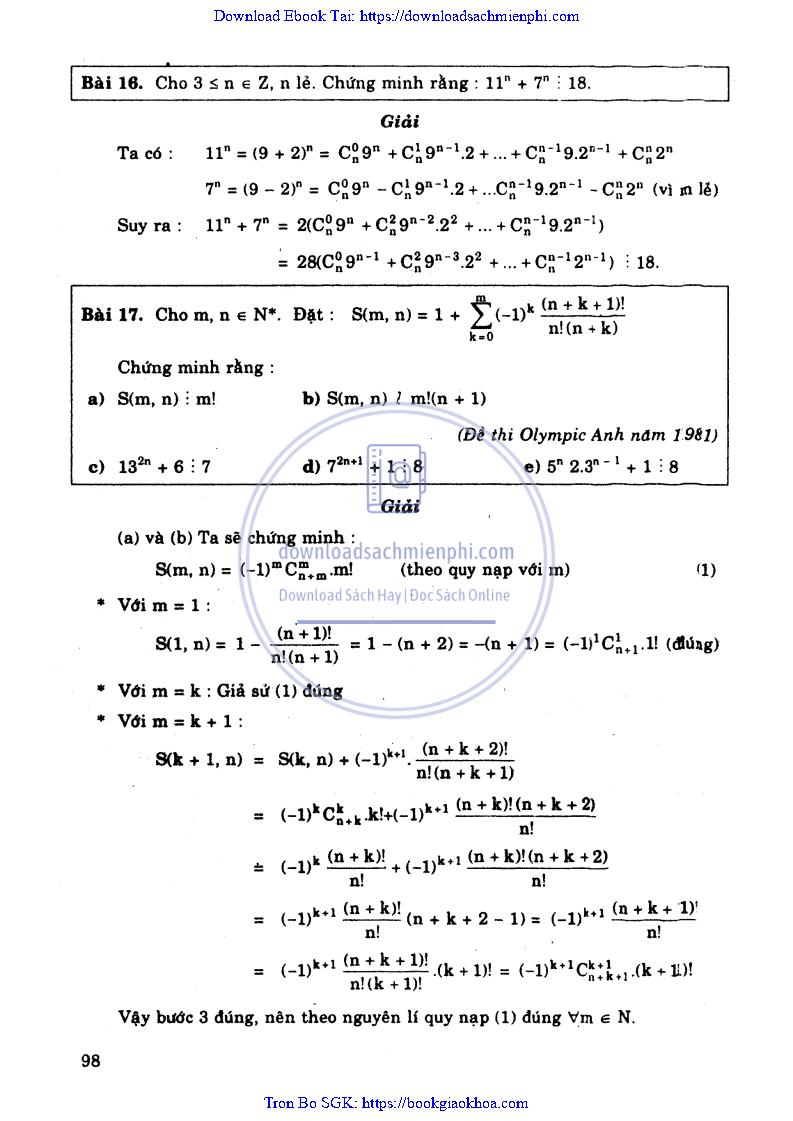
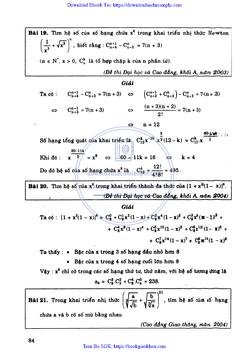
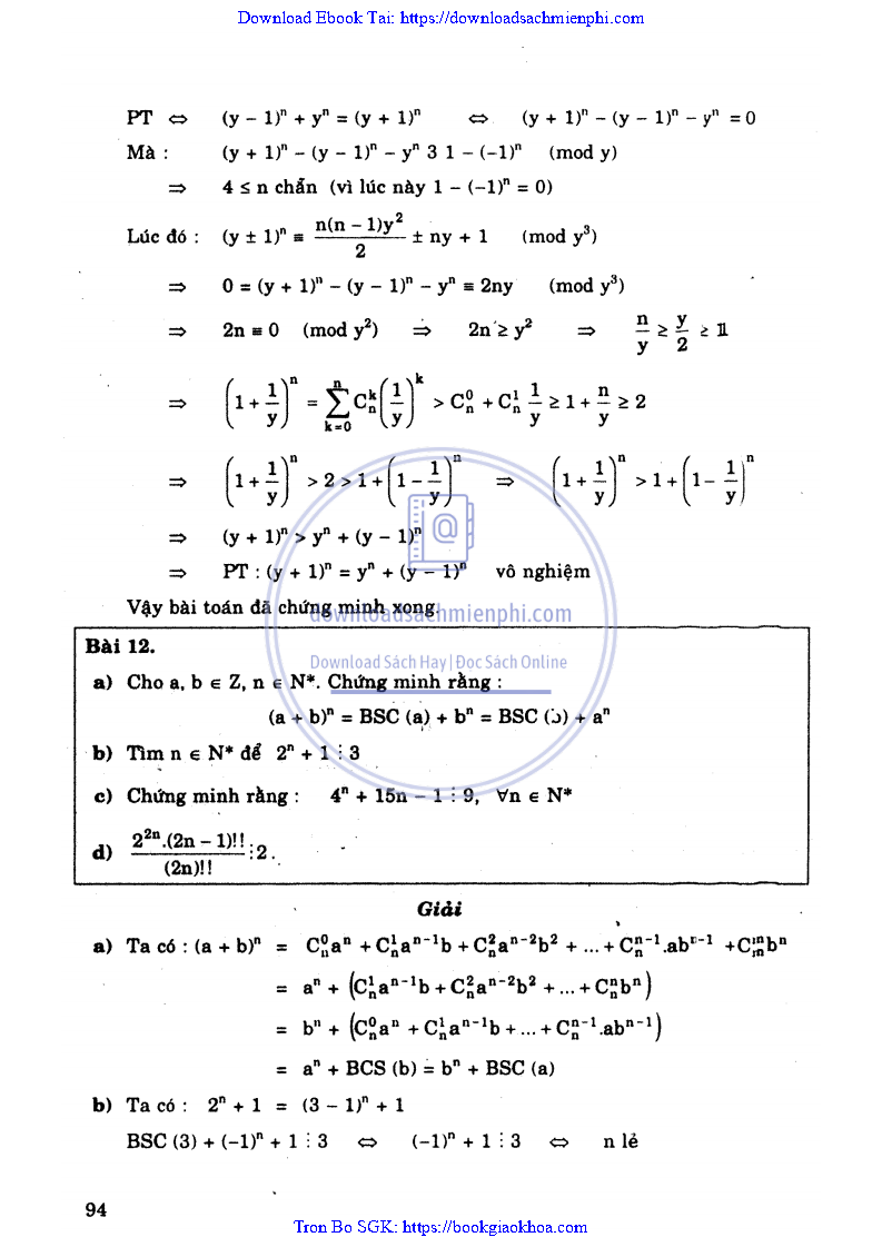
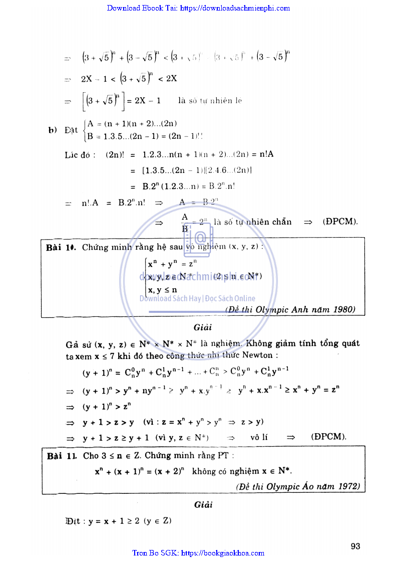
Sách Giáo Khoa | Sách Giải Bài Tập | SGK Online

CHƯƠNG 3: NHỮNG ỨNG DỤNG CỦA KHAI TRIỂN NHỊ THỨC NEWTON TRONG MỘT SỐ BÀI TOÁN ĐẠI SỐ VÀ SỐ HỌC ĐẶC BIỆT

Phương Pháp Giải Toán Đại Số Tổ Hợp 12 – Võ Giang Giai

CHƯƠNG 3: NHỮNG ỨNG DỤNG CỦA KHAI TRIỂN NHỊ THỨC NEWTON TRONG MỘT SỐ BÀI TOÁN ĐẠI SỐ VÀ SỐ HỌC ĐẶC BIỆT




























DANH SÁCH CÁC CHƯƠNG LIÊN QUAN: (NHẤP VÀO ĐỂ XEM CHI TIẾT)

Phương Pháp Giải Toán Đại Số Tổ Hợp 12 – Võ Giang Giai

BÀI VIẾT LIÊN QUAN: (NHẤP VÀO ĐỂ XEM CHI TIẾT)

Để Học Tốt Toán 12 – Ngô Long Hậu

Giải Bài Tập Giải Tích 12 – Nguyễn Vũ Thanh

Giải Bài Tập Giải Tích 12 Nâng Cao – Nguyễn Vũ Thanh

Giải Bài Tập Giải Tích Lớp 12 Chương Trình Chuẩn – Nguyễn Văn Lộc

Giải Bài Tập Giải Tích Lớp 12 Nâng Cao – Nguyễn Văn Lộc

Giải Bài Tập Hình Học 12 – Nguyễn Vũ Thanh

Giải Bài Tập Hình Học 12 Nâng Cao – Nguyễn Vũ Thanh

Giải Bài Tập Hình Học Lớp 12 Chương Trình Chuẩn – Nguyễn Văn Lộc

Giải Bài Tập Hình Học Lớp 12 Nâng Cao – Nguyễn Văn Lộc

Phân Loại Và Phương Pháp Giải Toán Hình Học Trong Mặt Phẳng – Lê Thị
Hương

Phương Pháp Giải Bài Tập Trắc Nghiệm Toán Tích Phân – Huỳnh Công Thái

Phương Pháp Giải Toán Đại Số Tổ Hợp 12 – Võ Giang Giai

Phương Pháp Giải Toán Giải Tích Tổ Hợp Và Xác Suất – Hà Văn Chương

Phương Pháp Giải Toán Hệ Thức Lượng Trong Tam Giác – Võ Giang Giai

Phương Pháp Giải Toán Hình Giải Tích Trong Không Gian – Trần Đức Huyên

Phương Pháp Giải Toán Hình Học Giải Tích Trong Không Gian – Lê Hồng
Đức

Phương Pháp Giải Toán Hình Học Không Gian Theo Chủ Đề – Trần Minh
Quang

Phương Pháp Giải Toán Lượng Giác – Nguyễn Cam

Phương Pháp Giải Toán Số Phức Và Ứng Dụng – Nguyễn Văn Dũng

Phương Pháp Giải Toán Tích Phân – Lê Hồng Đức

Phương Pháp Giải Toán Trắc Nghiệm Hình Học Giải Tích – Trần Bá Hà

Phương Pháp Giải Toán Tự Luận Hình Học Giải Tích 12 – Trần Thị Vân Anh

Phương Pháp Hàm Số Trong Giải Toán – Lê Xuân Sơn

Phương Pháp Trắc Nghiệm Hình Học Giải Tích 12 – Nguyễn Mộng Hy, Đậu Thế
Cấp

Phương Pháp Và Bài Giải 27 Chủ Đề Toán Hình Không Gian – Trần Minh
Quang

We will be happy to hear your thoughts

Leave a reply

Sách Giáo Khoa | Sách Giải Bài Tập | SGK Online
Logo
Enable registration in settings - general