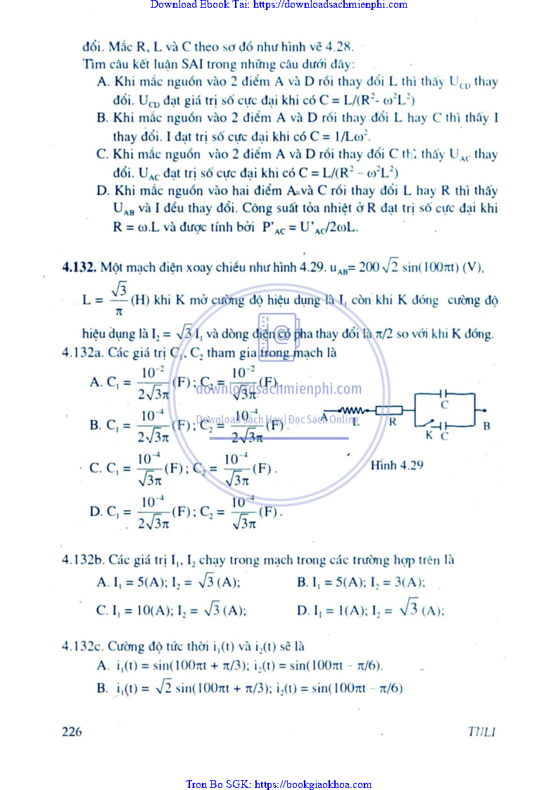
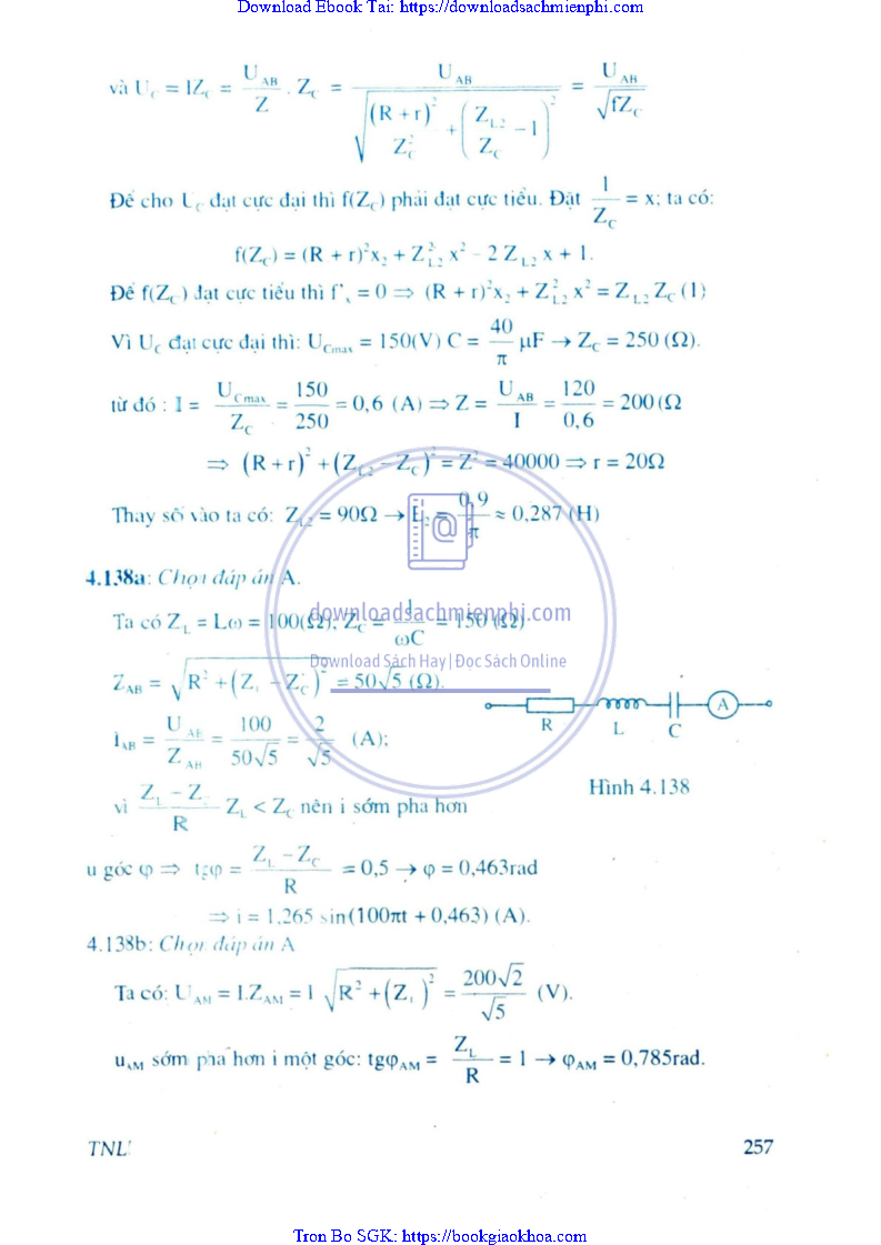
Phương Pháp Giải Các Dạng Bài Tập Trắc Nghiệm Vật Lý Tập 1 – Trần Ngọc
CHƯƠNG IV. DÒNG ĐIỆN XOAY CHIỀU
























































































DANH SÁCH CÁC CHƯƠNG LIÊN QUAN: (NHẤP VÀO ĐỂ XEM CHI TIẾT)
Phương Pháp Giải Các Dạng Bài Tập Trắc Nghiệm Vật Lý Tập 1 – Trần Ngọc
- CHƯƠNG I. CƠ HỌC CHẤT ĐIỂM VÀ VẬT RẮN QUAY
- CHƯƠNG II. DAO ĐỘNG CƠ HỌC
- CHƯƠNG III. SÓNG CƠ – SÓNG ÂM
- CHƯƠNG IV. DÒNG ĐIỆN XOAY CHIỀU
- CHƯƠNG V. MẠCH DAO ĐỘNG VÀ SÓNG ĐIỆN TỪ
BÀI VIẾT LIÊN QUAN: (NHẤP VÀO ĐỂ XEM CHI TIẾT)
Hướng Dẫn Học Và Giải Chi Tiết Bài Tập Vật Lý 12 – Nguyễn Phú Đồng
Kiến Thức Cơ Bản Và Hướng Dẫn Giải Bài Tập Vật Lý 12 – Mai Trọng Ý
Phân Loại Và Phương Pháp Giải Các Dạng Bài Tập Vật Lý 12 – Trần Ngọc
Phương Pháp Giải Bài Tập Trắc Nghiệm Vật Lý Theo Chủ Đề Tập 2 – Trần
Trọng Hưng
Phương Pháp Giải Các Dạng Bài Tập Trắc Nghiệm Vật Lý – Phạm Đức Cường
Phương Pháp Giải Các Dạng Bài Tập Trắc Nghiệm Vật Lý Tập 1 – Trần Ngọc
Phương Pháp Giải Toán Vật Lý 12 – Trần Anh Trung
Phương Pháp Giải Toán Vật Lý Theo Chủ Điểm Tập 2: Quang Hình Học – An Văn
Chiêu
Phương Pháp Giải Toán Vật Lý Theo Chủ Điểm Tập 3: Điện Xoay Chiều – An
Văn Chiêu

