Hướng Dẫn Giải Nhanh Bài Tập Hóa Học: Tập 3 – Cao Cự Giác
CHƯƠNG 2: CÁC KIM LOẠI KIỀM – KIỀM THỔ – NHÔM (KIM LOẠI ĐIỂN HÌNH NHÓM IA, IIA, IIIA)






















































































DANH SÁCH CÁC CHƯƠNG LIÊN QUAN: (NHẤP VÀO ĐỂ XEM CHI TIẾT)
Hướng Dẫn Giải Nhanh Bài Tập Hóa Học: Tập 3 – Cao Cự Giác
- CHƯƠNG 1: ĐẠI CƯƠNG VỀ KIM LOẠI
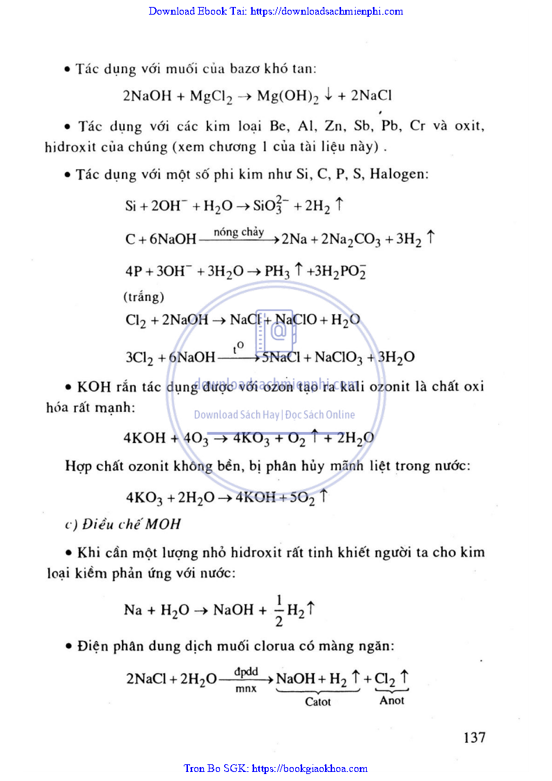
- CHƯƠNG 2: CÁC KIM LOẠI KIỀM – KIỀM THỔ – NHÔM (KIM LOẠI ĐIỂN HÌNH NHÓM IA, IIA, IIIA)
- CHƯƠNG 3: CÁC NGUYÊN TỐ CHUYỂN TIẾP (CROM, SẮT, ĐỒNG)
- CHƯƠNG 4: CÁC NGUYÊN TỐ NHÓM IVA VÀ VA (CACBON – SILIC VÀ NITƠ – PHOTPHO)
- CHƯƠNG 5: CÁC NGUYÊN TỐ NHÓM VIA VÀ VIIA (OXI – LƯU HUỲNH VÀ HALOGEN)
BÀI VIẾT LIÊN QUAN: (NHẤP VÀO ĐỂ XEM CHI TIẾT)
Các Phương Pháp Giải Nhanh Bài Tập Trắc Nghiệm Hóa Học – Lê Ngọc Sáng
Học Tốt Hóa Học 12 – Huỳnh Văn Út
Hướng Dẫn Giải Bài Tập Hóa Học 12 – Trần Trung Ninh
Hướng Dẫn Giải Bài Tập Hóa Học 12 Nâng Cao – Trần Trung Ninh
Hướng Dẫn Giải Nhanh Bài Tập Hóa Học: Tập 1 – Cao Cự Giác
Hướng Dẫn Giải Nhanh Bài Tập Hóa Học: Tập 2 – Cao Cự Giác
Hướng Dẫn Giải Nhanh Bài Tập Hóa Học: Tập 3 – Cao Cự Giác
Hướng Dẫn Giải Nhanh Các Dạng Bài Tập Trắc Nghiệm Trọng Tâm Hóa Vô Cơ –
Lê Thanh Hải
Phương Pháp Giải Bài Tập Trắc Nghiệm Hóa Vô Cơ – Phạm Ngọc Sơn
Phương Pháp Giải Toán Hóa Học Hữu Cơ – Nguyễn Thanh Khuyến
Phương Pháp Mới Giải Toán Hóa Chuyên Đề Điện Phân – Nguyễn Hoàng Thi

