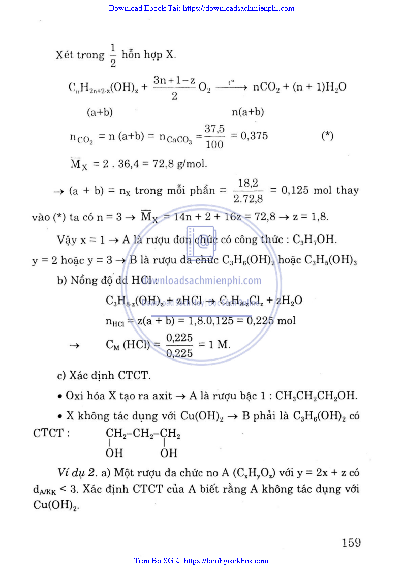
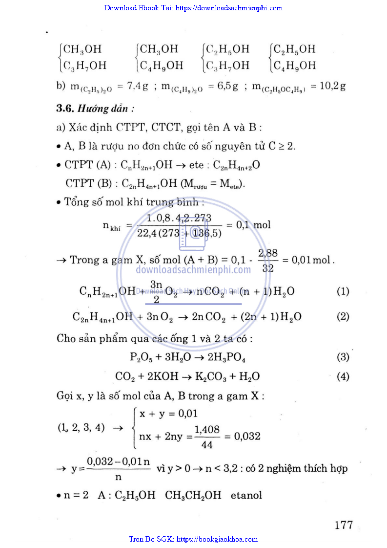
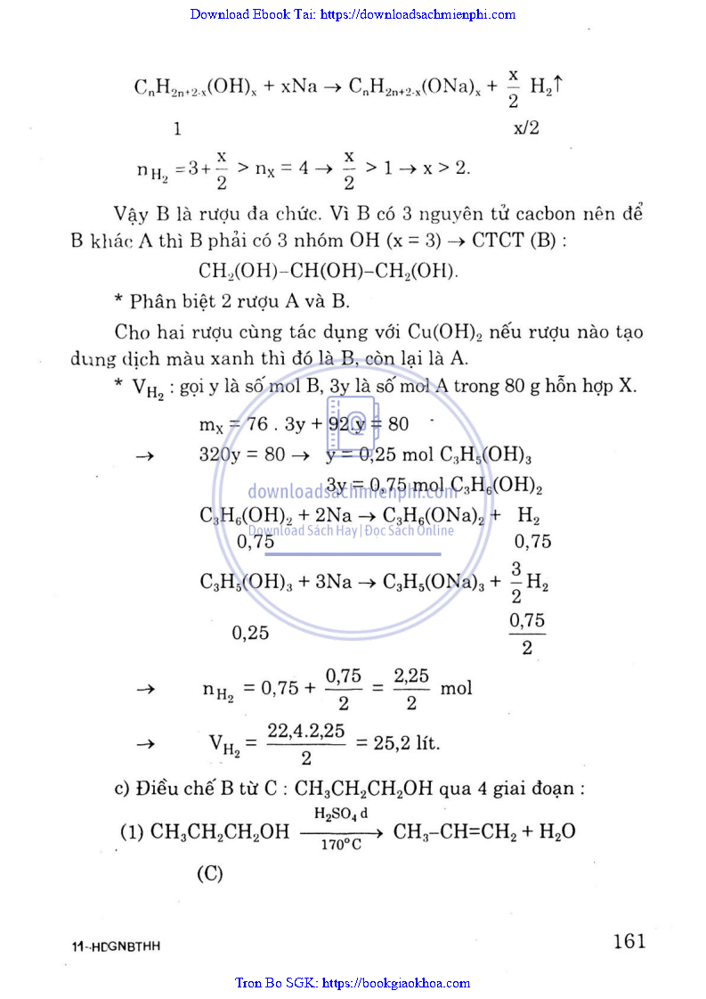
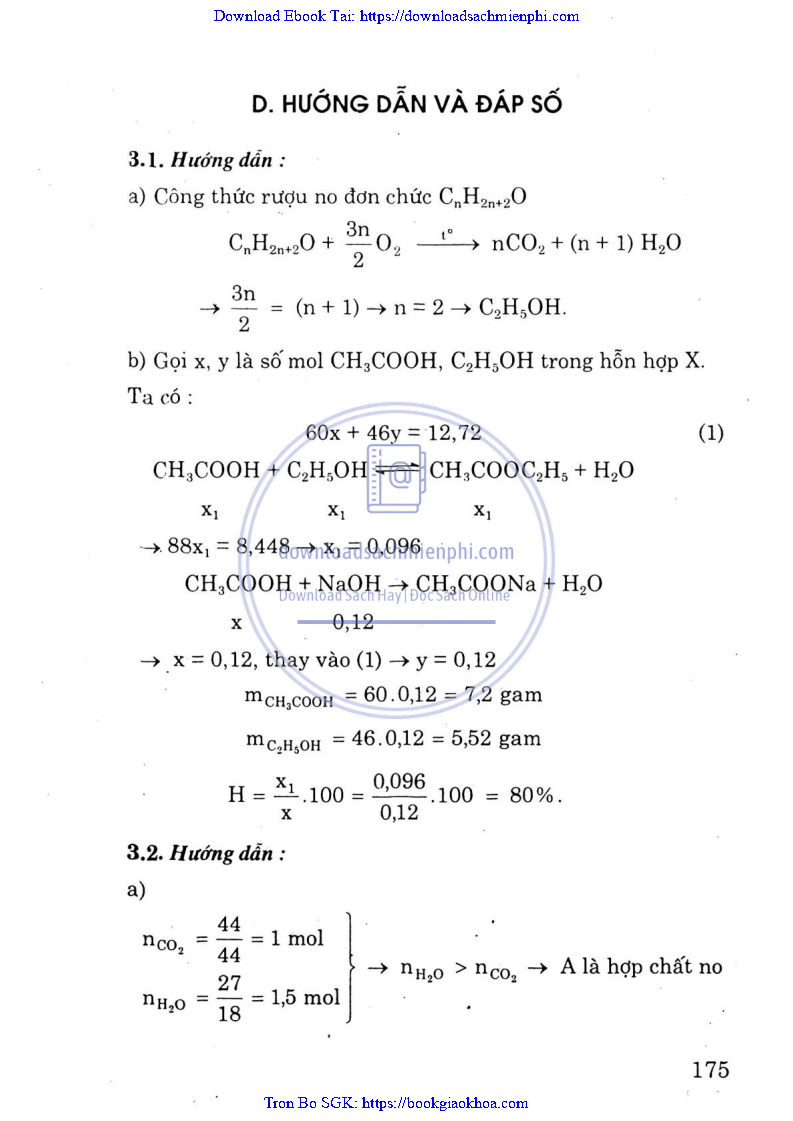
Sách Giáo Khoa | Sách Giải Bài Tập | SGK Online

CHƯƠNG 3: RƯỢU – PHENOL – AMIN

Hướng Dẫn Giải Nhanh Bài Tập Hóa Học: Tập 2 – Cao Cự Giác

CHƯƠNG 3: RƯỢU – PHENOL – AMIN































































DANH SÁCH CÁC CHƯƠNG LIÊN QUAN: (NHẤP VÀO ĐỂ XEM CHI TIẾT)

Hướng Dẫn Giải Nhanh Bài Tập Hóa Học: Tập 2 – Cao Cự Giác

BÀI VIẾT LIÊN QUAN: (NHẤP VÀO ĐỂ XEM CHI TIẾT)

Các Phương Pháp Giải Nhanh Bài Tập Trắc Nghiệm Hóa Học – Lê Ngọc Sáng

Học Tốt Hóa Học 12 – Huỳnh Văn Út

Hướng Dẫn Giải Bài Tập Hóa Học 12 – Trần Trung Ninh

Hướng Dẫn Giải Bài Tập Hóa Học 12 Nâng Cao – Trần Trung Ninh

Hướng Dẫn Giải Nhanh Bài Tập Hóa Học: Tập 1 – Cao Cự Giác

Hướng Dẫn Giải Nhanh Bài Tập Hóa Học: Tập 2 – Cao Cự Giác

Hướng Dẫn Giải Nhanh Bài Tập Hóa Học: Tập 3 – Cao Cự Giác

Hướng Dẫn Giải Nhanh Các Dạng Bài Tập Trắc Nghiệm Trọng Tâm Hóa Vô Cơ –
Lê Thanh Hải

Phương Pháp Giải Bài Tập Trắc Nghiệm Hóa Vô Cơ – Phạm Ngọc Sơn

Phương Pháp Giải Toán Hóa Học Hữu Cơ – Nguyễn Thanh Khuyến

Phương Pháp Mới Giải Toán Hóa Chuyên Đề Điện Phân – Nguyễn Hoàng Thi

We will be happy to hear your thoughts

Leave a reply

Sách Giáo Khoa | Sách Giải Bài Tập | SGK Online
Logo
Enable registration in settings - general